Eficiența vaccinurilor Pfizer, Moderna, AstraZeneca. Ce arată cifrele
CNCAV a realizat studiul de eficiență a vaccinării împotriva COVID-19 în rândul persoanelor vaccinate, comparativ cu evoluția persoanelor nevaccinate. Setul de date analizat de autorități a inclus peste 2,7 milioane de teste (pozitive și negative), colectate de la peste 1,7 milioane de persoane unice, cu vârsta de peste 16 ani și cu istoric cunoscut de vaccinare împotriva COVID-19, și s-a efectuat în perioada februarie – mai 2021, atunci când varianta Alfa a virusului era dominantă în țara noastră.
La persoane nevaccinate:
- 659 cazuri de infecție
- 167 spitalizări
- 10 internări în ATI
- 27 decese
La persoane cu schemă incompletă de vaccinare, după 14 zile de la efectuarea dozei 1:
- 404 cazuri de infecție
- 85 spitalizări
- 4 internări în ATI
- 10 decese
La persoane vaccinate complet, după 14 zile de la efectuarea dozei 2:
- 69 de cazuri de infecție
- 14 spitalizări
- 0.9 internări în ATI
- 1.6 decese
Întrucât riscul de evoluție severă a bolii variază în funcție de populația analizată, eficiența vaccinării împotriva infecției, a spitalizării, internării în ATI și a decesului în urma COVID-19 a fost calculată ajustat, în funcție de vârstă, sex și săptămâna testării.
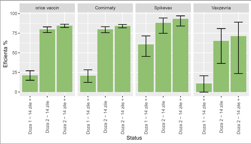
Eficiența împotriva infecției, analizată pentru fiecare tip de vaccin, începând cu 14 zile de la efectuarea dozei 2:
- Comirnaty/BioNTech Pfizer: 84.1% (CI: 81.8-86.1)
- Spikevax/Moderna: 93.1% (CI: 84.1-97.0)
- Vaxzevria/AstraZeneca: 71.1% (CI: 23.5-89.1)
Notă: administrarea vaccinului Janssen a debutat la data de 4 mai 2021, sens în care nu s-au acumulat suficiente date pentru perioada raportată (până la 31 mai a.c.). Eficiența acestui tip de vaccin va fi evaluată în perioada următoare
Eficiența cumulată pentru toate tipurile de vaccin, calculată după 14 zile de la efectuarea dozei 2:
- eficiența împotriva infecției: 84.4% (interval de confidență 95% – CI: 82.1-86.3)
- eficiența împotriva spitalizării: 91.8% (CI: 90.2-93.1)
- eficiența împotriva internării în ATI: 92.8% (CI: 89.6-95.0)
- eficienta împotriva decesului: 95.1% (CI: 93.4-96.3)
CONCLUZII!
În România, vaccinarea împotriva COVID-19 a redus:
- de peste 5 ori riscul de infecție;
- de peste 10 ori riscul de spitalizare;
- de aproape 14 ori riscul de internare în ATI;
- de peste 20 de ori riscul de deces în urma COVID-19.
O altă concluzie observată a fost că protecția împotriva spitalizării, internării în ATI și a decesului este de peste 50% încă de la administrarea dozei 1, la minim 14 zile de la efectuarea acesteia.
De reținut: beneficiile maximale se obțin după 14 zile de la efectuarea schemei complete de vaccinare, ceea ce subliniază importanța administrării dozei 2.
