Subiecte Olimpiada Nationala de Informatica 2015 Peste 300 de elevi au participat la competitia nationala – vezi subiectele de olimpiada de la Informatica
Olimpiada Nationala de Informatica 2015 – pe licee a adus in competitie 330 de elevi din toata tara, care au sustinut pana acum primele probe ale competitiei. Dupa testele de olimpiada sustinute in weekend, liceenii care s-au clasat pe primele locuri vor sustine marti proba de baraj, pentru lotul de internationala. Descarca din articol Subiectele de la Olimpiada Nationala de Informatica 2015 – subiectele de olimpiada de clasa a IX-a, testele de clasa a X-a si subiectele pentru clasele a XI-XII-a.
- Sustine olimpicii romani la faza nationala, printr-un mesaj de incurajare!
Olimpicii de la Informatica au fost primii care au sustinut probele de concurs, dintre toti elevii care participa saptamana aceasta la olimpiadele scolare nationale in stiinte exacte. Concursul dedicat olimpicilor liceeni la aceasta disciplina se va desfasura in perioada 3-8 aprilie, la Targoviste.
330 de elevi din toata tara, insotiti de 105 profesori, concureaza pentru medalia de aur la Olimpiada Nationala de Informatica si pentru un loc in lotul care va reprezenta Romania la Olimpiada Internationala de Informatica.
Potrivit programului de olimpiada, prima proba s-a desfasurat sambata si a doua proba – duminica, urmand ca elevii clasati pe primele locuri sa sustina marti, intre orele 8:30-13:00, proba de Baraj.
Vezi mai jos Subiectele de la Olimpiada Nationala de Informatica 2015
Subiect clasa a IX-a – CUB


Subiect clasa a IX-a – RISC


Subiect clasa a IX-a – ROBOTI


Subiectele de clasa a X-a: Olimpiada Nationala de Informatica 2015
Subiect clasa a X-a – CABANA


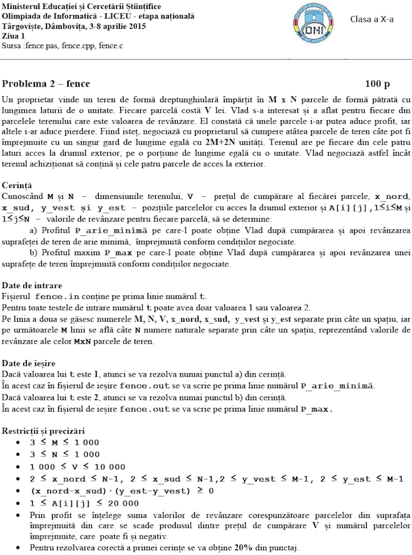
Subiect clasa a X-a – FENCE


Subiect clasa a X-a – NMULT

Subiectele de clasele a XI-a – a XII-a: Olimpiada Nationala de Informatica 2015
Problema 1:


Problema 2:


Problema 3:


BCR si Fundatia eMAG au lansat programul Hai la Olimpiada!, prin care sustin olimpiadele nationale de Matematica, Informatica si Fizica de anul acesta. In cadrul acestui program, elevii din Bucuresti, Iasi, Cluj si Timisoara au putut sa se pregateasca pentru faza nationala a concursurilor scolare la Centrele de Performanta Hai la Olimpiada!
Urmareste Sectiunea Olimpiade nationale stiinte exacte 2015 pentru a fi la curent cu informatii de la olimpiadele nationale, cu subiectele pe care olimpicii le vor avea de rezolvat, pe fiecare disciplina in parte, pentru a vedea numele olimpicilor care urca pe podium si fotografii de la evenimente.
- Sustine olimpicii romani la faza nationala, printr-un mesaj de incurajare!
