Simulare BAC 2025. Ce subiecte au primit elevii de clasa a XII-a la Biologie
Elevii de clasa a XII-a au susținut miercuri, la simularea examenului de Bacalaureat 2025, proba la alegere a profilului: Biologie, Fizică, Chimie, Geografie, Economie, Filosofie, Logică, Sociologie, Psihologie și Informatică. În articol, puteți găsi subiectele la Biologie – Anatomie Fizică și Umană primite la Simulare BAC 2025.
Proba scrisă la Simulare BAC 2025 a început la ora 9:00, iar elevii de clasa a XII-a au avut la dispoziție trei ore pentru a rezolva subiectele. Subiectele şi baremele se publică în fiecare zi de examen, la ora 15:00, pe pagina web dedicată. Evaluarea lucrărilor se va face digitalizat, prin intermediul platformei utilizate de Ministerul Educaţiei şi Cercetării.
Subiecte Biologie – Anatomie Fizică și Umană, la Simulare BAC 2025
La Subiectul III, elevii au avut să demonstreze înțelegerea modului în care organismul uman realizează funcțiile de relație, implicând sistemele nervos, endocrin, muscular și osos, scrie Edupedu.ro, care a obținut subiectele.
Mai întâi, li s-a cerut să caracterizeze o disfuncție endocrină, precizând numele acesteia, o cauză posibilă și o caracteristică specifică a disfuncției alese. În a doua parte, elevii au trebuit să formuleze un argument care să susțină afirmația că sistemul muscular are un rol important în realizarea funcțiilor de relație ale organismului uman.
- În ultima cerință, elevii au trebuit să redacteze un minieseu științific intitulat „Segmentele unui analizator și rolul lor”. Pentru acest minieseu, ei au avut să enumere șase noțiuni specifice temei și să construiască un text coerent din maximum trei-patru fraze, folosind corect și în corelație noțiunile menționate, potrivit sursei citate.



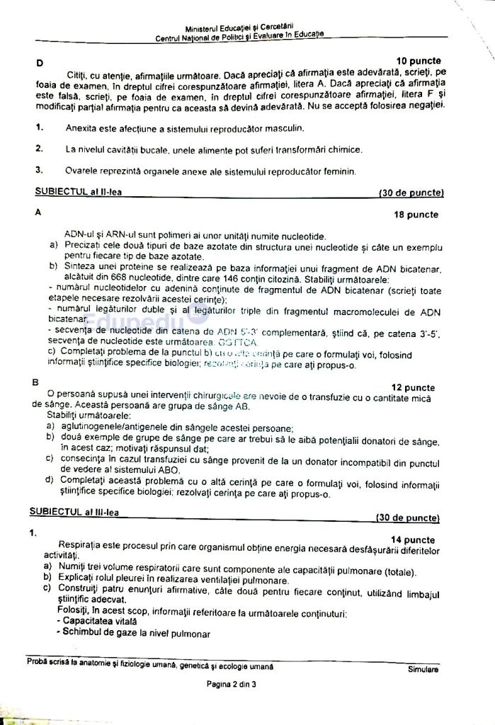
Subiecte Biologie – Vegetală și animală, la simulare BAC 2025



Simularea examenului de Bacalaureat se încheie joi, 27 martie, când elevii din partea minorităților naționale vor susține proba scrisă de limba și literatura maternă.
Rezultatele vor fi comunicate pe 8 martie.
Rezultatele obținute la simulare sunt analizate la nivelul fiecărei unități de învățământ prin discuții individuale cu elevii, dezbateri la nivelul clasei, ședințe cu părinții, precum și la nivelul consiliului profesoral, în vederea adoptării unor măsuri pentru îmbunătățirea performanțelor școlare în perspectiva examenelor din vara acestui an.
Potrivit Ministerului Educației și Cercetării, obiectivele urmărite prin organizarea simulărilor la nivel național sunt familiarizarea elevilor cu rigorile unui examen real și optimizarea rezultatelor obținute de către elevi la finalul studiilor liceale.
Calendarul probelor scrise la BAC 2025
Probele scrise la Bacalaureat 2025 vor începe în 10 iunie, iar rezultatele finale vor fi afișate în 30 iunie.
- 10 iunie 2025: Limba și literatura română – proba E.a) – probă scrisă
- 11 iunie 2025: Proba obligatorie a profilului – proba E.c) – probă scrisă
- 13 iunie 2025: Proba la alegere a profilului și specializării – proba E.d) – probă scrisă
- 16 iunie 2025: Limba și literatura maternă – proba E.b) – probă scrisă
- 20 iunie 2025: Afișarea rezultatelor la probele scrise, vizualizarea lucrărilor scrise și depunerea contestațiilor
- 23-24 iunie 2025: Vizualizarea lucrărilor scrise și depunerea contestațiilor
- 30 iunie 2025: Afișarea rezultatelor finale
