Rezolvarea subiectelor la Matematică, mate-info, BAC 2025. „Au fost subiecte accesibile”, spune un student care arată și soluțiile – FOTO
Subiectele primite miercuri de elevii de clasa a XII-a la proba de Matematică de la examenul de Bacalaureat 2025, pentru profilul real, specializarea Mate-Info, au fost rezolvate pentru publicul HotNews de Rareș Cotoi, student în anul al doilea la Facultatea de Matematică și Informatică a UBB Cluj-Napoca.
- Rareș Cotoi a obținut nota 10 la proba de Matematică M1 a examenului de Bacalaureat 2023 și este unul dintre autorii principali ai cărților de pregătire publicate de Facultatea de Matematică a UBB pentru examenul de admitere.
- El a pregătit zeci de elevi pentru examenul de Bacalaureat și pentru examenele de admitere în învățământul superior, la Matematică și Informatică.
„Au fost subiecte accesibile”, a spus pentru HotNews Rareș Cotoi, student în anul al doilea la Facultatea de Matematică și Informatică a UBB Cluj-Napoca. El a făcut și rezolvarea subiectelor la matematică la BAC 2025, proba mate-info.
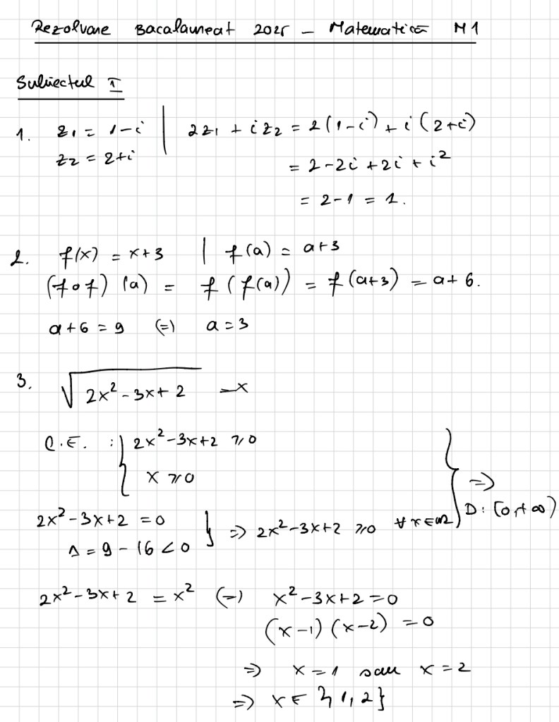
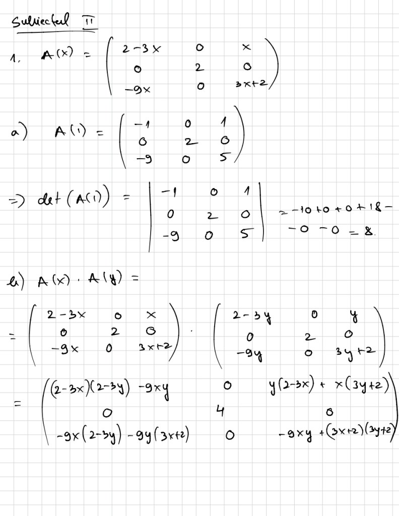
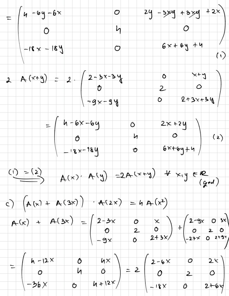
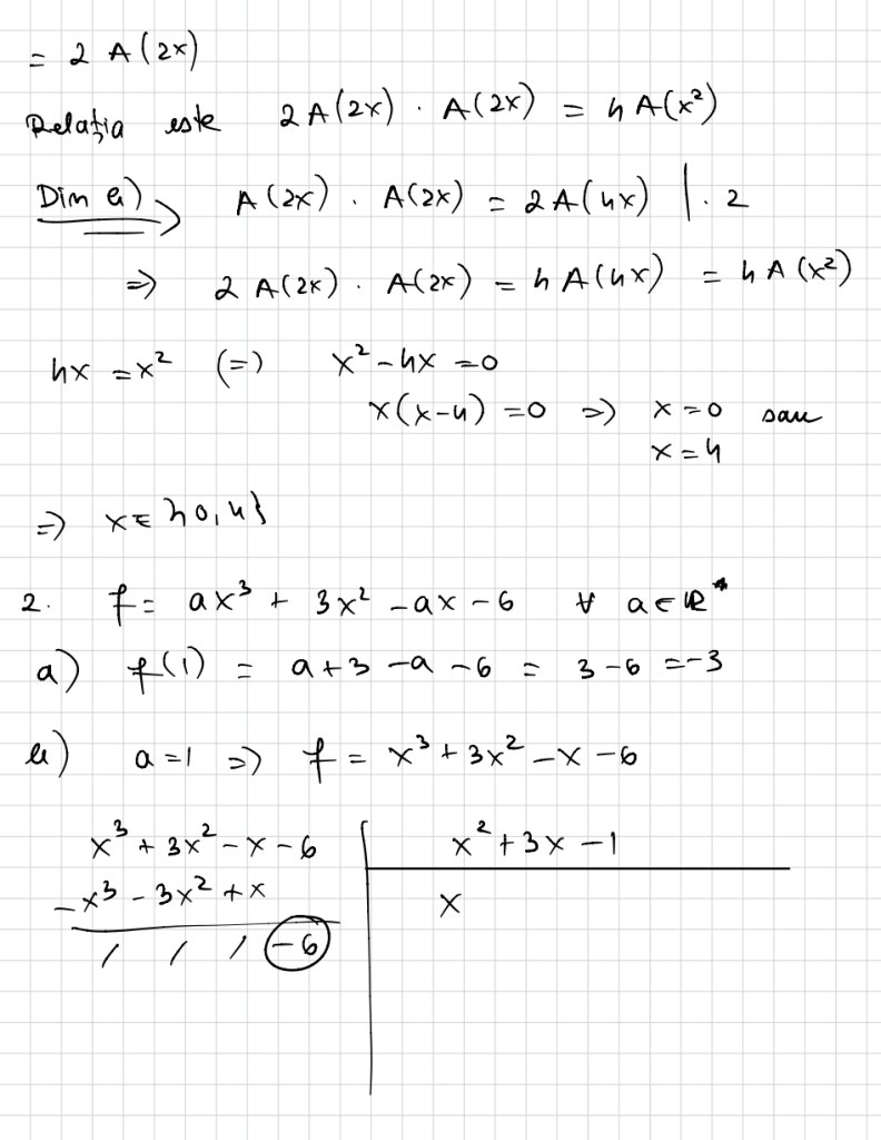
Vedeți mai jos cum se rezolvau cerințele:










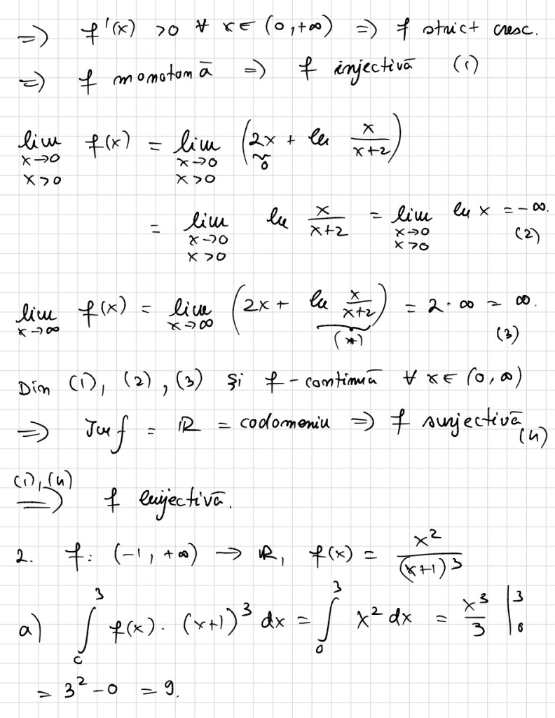
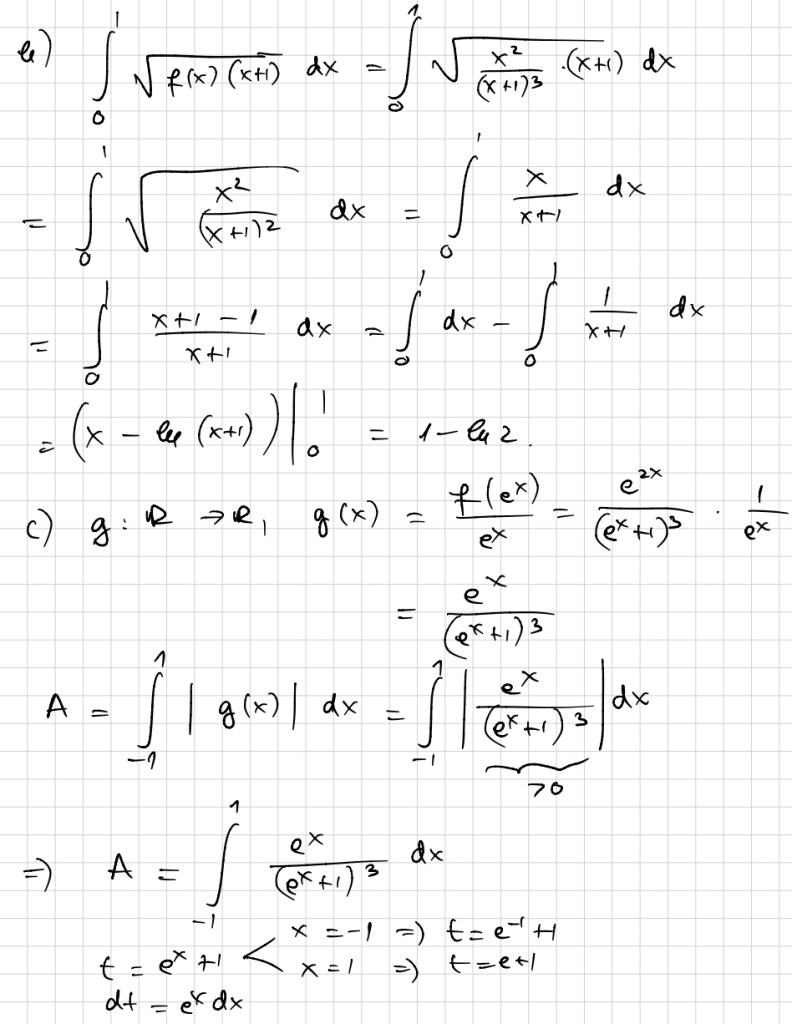
Subiecte Matematică BAC 2025 – Mate-Info – rezolvate de Rareș Cotoi, pot fi descărcate de aici:
Subiecte matematică BAC 2025 – mate info


Elevii claselor terminale de liceu au susținut astăzi, 11 iunie, proba scrisă obligatorie a profilului la examenului de BAC 2025. Elevii de la profilul real au dat examen la Matematică, iar elevii care studiază la profilul uman au dat probă scrisă la Istorie.

Baremele și subiectele se publică în fiecare zi de examen, la ora 15:00, pe pagina web dedicată.
BAC 2025. Examenele scrise continuă zilele următoare
Examenul de BAC 2025 continuă cu probele scrise la alegere a profilului și proba la Limba maternă, acolo unde este cazul:
- 13 iunie 2025: Proba la alegere a profilului și specializării – proba E.d) – probă scrisă
- 16 iunie 2025: Limba și literatura maternă – proba E.b) – probă scrisă
Primele rezultate la BAC 2025 vor fi afișate pe 20 iunie 2025, iar elevii nemulțumiți de notele lor le pot contesta pe 23 și 24 iunie. Rezultatele finale vor fi afișate pe 30 iunie.
BAC 2025 – Contestații
Candidații pot solicita vizualizarea lucrării/ lucrărilor proprii după afișarea rezultatelor inițiale, în conformitate cu prevederile procedurii stabilite de către Comisia Națională de Bacalaureat.
La vizualizarea lucrării/ lucrărilor, candidatul minor trebuie să fie însoțit obligatoriu de un părinte / reprezentant legal.
Depunerea contestațiilor nu este condiționată de vizualizarea lucrărilor. În aceeași măsură, vizualizarea lucrărilor nu obligă candidatul la depunerea contestației.
Candidații care contestă rezultatul inițial al evaluării trebuie să completeze, să semneze și să depună/ transmită prin mijloace electronice și o declarație-tip în care se menționează faptul că au luat cunoștință că nota acordată ca urmare a soluționării contestației poate modifica, după caz, nota inițială, prin creștere sau descreștere.
Comunicarea rezultatelor se face anonimizat, utilizându-se codurile individuale care înlocuiesc numele și prenumele candidaților. Aceste coduri sunt distribuite candidaților, pe bază de semnătură de primire, la prima probă pe care o susțin.
Pentru comunicarea notelor obținute, înainte de etapa de depunere și soluționare a contestațiilor, comisiile din unitățile de învățământ/ centrele de examen tipăresc lista rezultatelor examenului de Bacalaureat, care cuprinde: codul candidatului, unitatea de învățământ de proveniență, județul, promoția, forma de învățământ absolvită, specializarea, notele obținute la fiecare probă scrisă, media sau mențiunile ‘reușit’/ ‘respins’/ ‘neprezentat’/ ‘eliminat din examen’, după caz.
În baza metodologiei-cadru (cu modificările ulterioare) și ale Regulamentului (UE) 2016/ 679 al Parlamentului European și al Consiliului din 27 aprilie 2016 privind protecția persoanelor fizice în ceea ce privește prelucrarea datelor cu caracter personal și privind libera circulație a acestor date și de abrogare a Directivei 95/ 46/ CE (Regulamentul general privind protecția datelor), comisiile din unitățile de învățământ/ centrele de examen afișează/ postează, utilizând codurile individuale ale candidaților care au depus contestații, notele obținute în urma rezolvării contestațiilor, la loc vizibil, la avizier și pe website-ul unității de învățământ.
Rezultatele examenului național de Bacalaureat ale candidaților anonimizați sunt afișate atât pe pagina dedicată examenului, cât și pe site-urile inspectoratelor școlare pentru o perioadă de 2 ani.
BAC 2025 – În ce condiții se promovează examenul
Pentru a promova examenul, un absolvent de liceu trebuie să îndeplinească următoarele condiții (cumulat):
* susținerea tuturor probelor de evaluare a competențelor lingvistice și digitale;
* susținerea tuturor probelor scrise și obținerea notei 5 (cel puțin) la fiecare dintre acestea;
* obținerea cel puțin a mediei 6 la probele scrise (media notelor obținute la probele scrise).
BAC 2025 – Call center dedicat special
În zilele în care se desfășoară probele scrise, Ministerul Educației și Cercetării pune la dispoziția celor interesați, între orele 8:00 – 16:00 (excepție face ziua de vineri, 13 iunie, când intervalul de funcționare este cuprins între orele 8:00 – 14:00), linia TELVERDE 0800801100 pentru sesizarea eventualelor disfuncționalități privind organizarea/desfășurarea examenului.
Ministerul Educației menționează că activitățile din cadrul examenului național de Bacalaureat se realizează prin intermediul platformei dedicate evaluării digitalizate.
Centrul Național pentru Curriculum și Evaluare va publica subiectele și baremul de corectare pentru fiecare probă scrisă, zilnic, la ora 15:00, pe site-ul dedicat.
